Zenia Zuraiq
Hi! I am Zenia Zuraiq, a Ph.D. student and Prime Minister’s Research Fellow at the Department of Physics, IISc Bangalore. I am also an associate member of the Indian Pulsar Timing Array (InPTA) collaboration.
I work in high energy astrophysics. More specifically, I study the compact objects formed at the end stages of a star’s life, focussing on neutron stars and white dwarfs. You can find a list of my publications here.
selected publications
-
Anisotropic hybrid stars: Interplay of superconductivity and magnetic field leading to gravitational wavesZenia Zuraiq, and Banibrata MukhopadhyayApr 2026Neutron stars, at their cores, are highly dense and, thus, are expected to have a number of exotic processes. This includes a possible phase transition to deconfined quark matter at the core, leading to a hybrid star. The quark matter is expected to additionally be color superconducting. The physics of superconductivity plays an important role in understanding the high density matter in the interiors of neutron/hybrid stars. At their high densities, additionally, both proton superconductivity and neutron superfluidity are expected. We study the effect of superconducting (quark/proton) matter, along with the internal magnetic field, leading to pressure anisotropy within hybrid stars. We aim to probe the effect of superconductivity, especially from color superconducting quarks, in hybrid star structure. We propose new phenomenological model anisotropy profiles within a one-dimensional framework. We model quark matter using the vector interaction enhanced Bag model, and hadron matter with the DD2 equation of state. A Maxwell construction joins both phases. We further investigate the possible observational signatures of these hybrid stars. These include mass enhancement and continuous gravitational waves, possibly arising from the anisotropy induced deformation, helping us further constrain our model and its physical parameters.
-
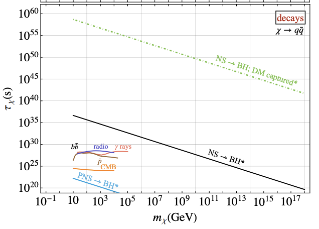
Dark, deep, deconfining: Phase transitions in neutron stars as powerful probes of hidden sectorsAryaman Bhutani, Nirmal Raj, and Zenia ZuraiqJul 2025The interiors of neutron stars enjoy ideal conditions for the conversion of hadrons to a strange quark phase, theorized to be the stablest form of matter. Though numerous astrophysical means to prompt such a deconfinement phase transition have been suggested, they may be pre-empted by a large energy barrier for nucleation of quark matter droplets. We will show that interactions of hidden sectors of particles with nucleons may surmount the barrier if it exceeds deca-GeV energies, and spark a phase transition. The neutron star would then, depending on the equation of state of QCD matter, convert to a black hole and/or set off a gamma-ray burst (GRB). Using the observed existence of ancient neutron stars and estimates of the GRB rate, we then set some of the strictest (albeit conditional) limits on dark matter scatters, annihilations, and decays that are tens of orders stronger than those from terrestrial searches. For smaller energy barriers, lower limits on nucleon decay lifetimes of the order of 10^64 yr may be obtained.
-
Simulating super-Chandrasekhar white dwarfsZenia Zuraiq, Achal Kumar, Alexander J. Hackett, and 3 more authorsIn Nov 2024Over the last few decades, there has been considerable interest in the violation of the sacred "Chandrasekhar" mass limit of white dwarfs (WDs). Peculiar over-luminous type Ia supernovae (such as SNLS-03D3bb) lend observational support to the idea that these super-Chandrasekhar WDs exist. Our group, for more than a decade, has been actively working on the theoretical possibility of these objects through the presence of the star’s magnetic field. The magnetic field greatly contributes to the existence of these massive WDs, both through classical and quantum effects. In this work, we explore super-Chandrasekhar WDs, formed via evolution from a main sequence star, as a result of the classical effects of the star’s magnetic field. We obtain super-Chandrasekhar WDs and new mass limit(s), depending on the magnetic field geometry. We explore the full evolution and stability of these objects from the main sequence stage through the one-dimensional stellar evolution code STARS. In order to do so, we have appropriately modified the given codes by introducing magnetic effect and cooling. Our simulation confirms that massive WDs are possible in the presence of a magnetic field satisfying underlying stability.
-
Simulating super-Chandrasekhar white dwarfsZenia Zuraiq, Achal Kumar, Alexander J. Hackett, and 3 more authorsIn Nov 2024Over the last few decades, there has been considerable interest in the violation of the sacred "Chandrasekhar" mass limit of white dwarfs (WDs). Peculiar over-luminous type Ia supernovae (such as SNLS-03D3bb) lend observational support to the idea that these super-Chandrasekhar WDs exist. Our group, for more than a decade, has been actively working on the theoretical possibility of these objects through the presence of the star’s magnetic field. The magnetic field greatly contributes to the existence of these massive WDs, both through classical and quantum effects. In this work, we explore super-Chandrasekhar WDs, formed via evolution from a main sequence star, as a result of the classical effects of the star’s magnetic field. We obtain super-Chandrasekhar WDs and new mass limit(s), depending on the magnetic field geometry. We explore the full evolution and stability of these objects from the main sequence stage through the one-dimensional stellar evolution code STARS. In order to do so, we have appropriately modified the given codes by introducing magnetic effect and cooling. Our simulation confirms that massive WDs are possible in the presence of a magnetic field satisfying underlying stability.
-
Massive neutron stars as mass gap candidates: Exploring equation of state and magnetic fieldZenia Zuraiq, Banibrata Mukhopadhyay, and Fridolin WeberPhys. Rev. D Jan 2024The densities in the cores of the neutron stars (NSs) can reach several times that of the nuclear saturation density. The exact nature of matter at these densities is still virtually unknown. We consider a number of proposed, phenomenological relativistic mean-field equations of state to construct theoretical models of NSs. We find that the emergence of exotic matter at these high densities restricts the mass of NSs to ≃ 2.2M⊙. However, the presence of magnetic fields and a model anisotropy significantly increases the star’s mass, placing it within the observational mass gap that separates the heaviest NSs from the lightest black holes. Therefore, we propose that gravitational wave observations, like GW190814, and other potential candidates within this mass gap, may actually represent massive, magnetized NSs.
-
The Indian Pulsar Timing Array Data Release 2: I. Dataset and Timing AnalysisPrerna Rana, and othersJun 2025The Indian Pulsar Timing Array (InPTA) employs unique features of the upgraded Giant Metrewave Radio Telescope (uGMRT) to monitor dozens of the International Pulsar Timing Array (IPTA) millisecond pulsars (MSPs), simultaneously in the 300-500 MHz and the 1260-1460 MHz bands. This dual-band approach ensures that any frequency-dependent delays are accurately characterized, significantly improving the timing precision for pulsar observations, which is crucial for pulsar timing arrays. We present details of InPTA’s second data release that involves 7 yrs of data on 27 IPTA MSPs. This includes sub-banded Times of Arrival (ToAs), Dispersion Measures (DM), and initial timing ephemerides for our MSPs. A part of this dataset, originally released in InPTA’s first data release, is being incorporated into IPTA’s third data release which is expected to detect and characterize nanohertz gravitational waves in the coming years. The entire dataset is reprocessed in this second data release providing some of the highest precision DM estimates so far and interesting solar wind related DM variations in some pulsars. This is likely to characterize the noise introduced by the dynamic inter-stellar ionised medium much better than the previous release thereby increasing sensitivity to any future gravitational wave search.